| Non-intrusive ultrasonic measurement system technique for pipeline internal pressure |
| Function Summary |
| By using ultrasonic refraction longitudinal wave method for measuring stress to indirectly complete the measurement of pipeline internal pressure. The specific implementation is as follows: |
 |
| shows a block diagram of ultrasonic measurement for the pipeline internal pressure |
| Through the residual stress ultrasonic nondestructive testing method for circumferential stress, the pipeline internal pressure is calculated by the formula (1). |
| Specifications |
| measuring range: ±15MPa (water pressure) |
| Pipeline outer diameter range: ≥70mm |
| pipeline wall thickness range: ≥3mm |
| measuring error: ≤3% |
 |
 |
| Residual stress ultrasonic measurement software interface |
Testing site |
| Technical principl |
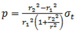
| Oil and gas pipelines can be regarded as a homogeneous thick wall cylinder, through the relevant deduction of elastic mechanics and material mechanics, can draw the following conclusion: |
 |
(1) |
| Where, ρ is internal pressure, r1 is internal radius, r2 is outer radius; r is the length of the outer radius minus detection depth; σ is circumferential stress. |
| The above theoretical derivation may draw the conclusion that it is a linear relationship between the pipeline internal pressure and the circumferential stress of external surface. |
| Applications |
| The pressure in pipe is increased 1Mpa per time to 9Mpa by water pressure testing machine in Figure 3. figure 4 shows the testing results of circumferential stress. The residual stress ultrasonic measuring software interface in Figure 2 mainly includes the cross-correlation algorithm and difference algorithm. It can be realized to measure the circumferential residual stress by using ultrasonic nondestructive testing method and combining with the related hardware shown in figure 3. The pipeline internal pressure can be calculated according to the formula (1). |
| Mainly used in oil and gas pipeline safety assessment. |
 |
| Test results |
| Figure 4 shows that the water pressure has a linear relation with circumferential residual stress, in conformity with the formula (1), and the detection error is less than 3%. |
| |
| |