中文 English
北京理工大学检测与控制研究中心
Center for Nondestructive Testing and Control, Beijing Institute of Technology
首页 研究中心概述 科学研究 学术成果 研究队伍 毕业人员 合作交流 课件下载
研究方向
研究成果
承担课题
视频简介
研究方向
齿轮齿根残余应力超声无损检测技术

能解决的工程问题:

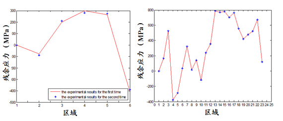
齿轮作为一种重要的机械传动零件,广泛应用于航空航天、武器系统、民用工业等各个领域。随着科学技术的发展,对齿轮传动高强度、高效率、高可靠性的需求日益增强。研究表明,齿轮齿根表面残余应力严重影响着齿轮的抗疲劳强度、使用寿命等;而如何快速、准确的检测出齿轮齿根残余应力的大小和分布是技术瓶颈所在。本技术则为解决此类难题提供了较好的基础支持。如图1为20CrMnMo材料的齿轮沿轴向方向的应力曲线;如图2为该齿轮24个齿根的应力曲线。

工作原理简介:

齿轮齿根残余应力超声无损检测系统是基于超声临界折射纵波原理。该系统针对齿根部位连续变化的曲率半径,设计了特殊的齿根残余应力检测楔块。同时,对超声临界折射纵波在齿根处的传播模式进行分析,建立了两发两收的齿根专用软硬件检测系统。图3为检测现场。

主要技术指标:

  • 检测分辨率: ±20MPa
  • 温度范围:-10°~40℃
  • 检测深度:0.2~150mm
  • 齿顶圆直径:≥60mm

系统特点:

  • 适用面广,可用于装甲车发动机齿轮、航空齿轮、曲率变化较大的涡扇叶片、扭力轴扭齿处等的残余应力检测
  • 能够实现齿轮各个齿根的轴向和周向残余应力检测,可以不受齿根曲率半径变化的影响,检测精度较高,速度快
  • 国外还无相关检测设备,国际首创
版权所有: 北京理工大学检测与控制研究中心
联系人:徐春广教授
联系电话:010-68914283,13701099129
地址:北京市海淀区中关村南大街北京理工大学1号教学楼229
Email:xucg@bit.edu.cn,xucgbit@263.net